압력 스위치 설정

압력 스위치란 무엇인지 압력 스위치의 설정 방법은 어떻게 하는지 정리해 보았습니다.
압력스위치란?
압력스위치는 탱크 및 배관내의 압력을 감지해 주펌프와 충압펌프를 기동, 정지하는 역할을 하는 스위치입니다. 주로 소방설비의 압력챔버와 함께 사용됩니다.
압력스위치 설정
압력스위치는 RANGE 설정값과 DIFF 설정값에 의해 동작합니다. RANGE값과 DIFF값은 압력스위치 상단의 조절나사로 조정하며, 시계방향으로 돌리면 지침이 올라가고 반시계방향으로 돌리면 내려갑니다.
1. DIFF(Difference)
펌프의 정지세팅값과 기동세팅값의 차이를 의미합니다.
2. RANGE
펌프의 정지입력값 입니다. 압력이 RANGE값에 도달했을때 펌프의 기동이 정지되는 것이죠.
위 사진에서 RANGE의 왼쪽편 단위는 kgf/㎠ 오른쪽은 Mpa(메가파스칼)로 되어있습니다.
1Mpa = 10kgf/㎠
1kgf/㎠ = 0.098067Mpa
(※ 1kgf/㎠는 1㎠에 1kg짜리 질량을 올렸을 때 1㎠에 작용하는 지구중력에 의한 힘입니다.)
펌프의 압력스위치 설정
1. 주펌프
- RANGE : 총 양정의 1/10이 적합하며, 현장에서는 1/10보다 1~2정도 높게 설정합니다.
- DIFF : 원하는 세팅 값으로 설정합니다.
2. 충압펌프
- RANGE : 주펌프의 RANGE값과 동일하게 또는 조금 낮게 설정합니다.
- DIFF : 주펌프의 DIFF보다 0.05~0.15Mpa정도 낮게 설정하는 것이 적합합니다.


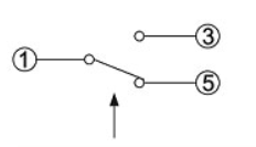
압력스위치의 접점
압력스위치의 접점은 상기의 이미지와 같이 1번, 3번, 5번으로 구성되어있습니다.
1 - 3 : a접점
1 - 5 : b접점
테스터기로 도통시험을 해보면 전기적 연결관계를 알 수 있습니다.
사진에서 압력이라고 적힌 부분은 압력에 의해서 상하로 움직이는 부분입니다.
압력이 올라가지 않은 상태에서는 1 - 5가 전기적으로 연결되어 b접점, 압력이 올라가면 1 - 3이 붙어 a접점임을 알 수 있습니다.
압력스위치의 작동
먼저 간단한 설정값에 의한 압력스위치 작동에 대해 알아 보겠습니다.
Range값 : 8 / DIFF값 : 2 로 세팅되어있다고 가정합니다.
펌프의 동작은 압력이 8인 상태에서 펌프가 멈추고 2만큼 떨어지면, 즉 6(8 - 2 = 6)이면 펌프가 가동됩니다.
다음은 현장에서 어떻게 RANGE값과 DIFF값을 설정하는지 알아보겠습니다.
1. 펌프 명판의 양정을 본다.
- 양정이 80m라면 펌프의 정격토출압력은 8Kgf/㎠입니다.
- 체절압력은 8×1.4=11.2 입니다. (체절압력은 소방 펌프 양정의 140%)
2. 릴리프밸브는 체절압력미만에서 터져야 하니까
- 체절압력인 11.2보다는 낮게 설정, 주펌프 작동 정지점인 7.5보다는 높게 설정합니다. 다만 릴리프밸브 조정이 너무 낮으면 주펌프가 작동되고 얼마되지 않아 릴리프가 터지므로 11.2(체절압력)~8(펌프토출압력)정도면 괜찮습니다.
(릴리프밸브 : 압력을 제한하기 위한 밸브)
3. 펌프의 기동순서는 [충압기동→주기동→ 충압정지] 입니다.
4. 충압펌프의 작동정지압력(Range)는 주펌프의 Range와 동일하게 또는 조금 낮게 설정
- 주펌프의 Range는 8, 충압펌프의 Range는 8 또는 7.5정도
5. 주펌프의 Diff를 3으로 충압펌프의 Diff는 주펌프의 Diff보다 0.5~1.5정도로 합니다.
- 따라서 주펌프의 정지압력은 8-3=5kgf/cm2, 충압펌프의 정지압력은 8-2=6kgf/cm2입니다.
2024.03.10 - [분류 전체보기] - 크롬 도금(chrome plating)에 대한 이해
크롬 도금(chrome plating)에 대한 이해
크롬 도금(chrome plating) 장식용으로 사용하는 크롬도금과 공업용으로 사용하는 경질 크롬 도금이 있다. 보통 장식용으로 사용하는 크롬 도금은 장식의 목적으로 니켈 도금 위에 10 마이크로미터
week.issuesage.com
